ローレンツ力によるらせん運動
磁束密度(
●
ブルー)
小
大
質量
小
大
電気量の大きさ
小
大
速さ(
●
イエロー)
小
大
磁場と速度のなす角
0
90°
電気量の符号:
正
負
磁束密度の向き:
上向き
下向き
スタート/リセット
説明
<説明>
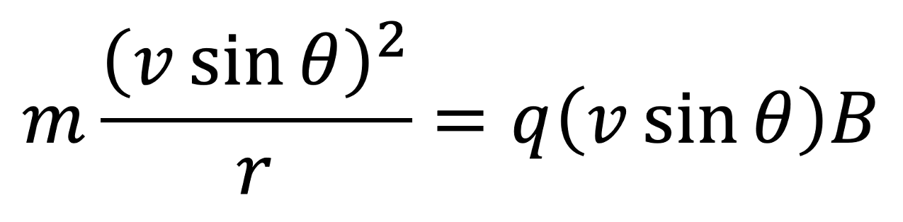
荷電粒子が磁場に対して斜めに入射すると,らせん運動をする.
半径方向の運動方程式
操作方法
<操作方法>
スマートフォン,タブレット
※低電力モードの場合ゆっくり表示されます.低電力モードの解除をお願いします.
・回転:1本指でドラッグ.
・拡大縮小:ピンチイン(2本指の間隔を狭める)で縮小.ピンチアウト(2本指の間隔を広げる)で拡大.
・平行移動:2本指でドラッグ.
PC(トラックパッド)
・回転:1本指でドラッグ.
・拡大縮小:2本指で上下に操作.上に動かせば縮小・下に動かせば拡大.
・平行移動:2本指でドラッグ.または,シフトキー+1本指でドラッグ.
PC(マウス)
・回転:左クリックでドラッグ.
・拡大縮小:マウスホイールをクリックしながらマウスを移動.または,マウスホイールを回転.
・平行移動:右クリックでドラッグ.または,シフトキー+左クリックでドラッグ
ホーム
物理一覧